Lompat ke konten Lompat ke sidebar Lompat ke footer

Contoh Soal Jaringan Kerja - Contoh Penjadwalan Proyek Referensi Manajemen Operasi / Contoh soal dan jawaban administrasi server jaringan.

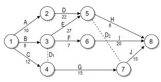
Contoh Soal Jaringan Kerja - Contoh Penjadwalan Proyek Referensi Manajemen Operasi / Contoh soal dan jawaban administrasi server jaringan.. Contoh soal dan jawaban analisis jaringan kerja. Analisis network riset operasi ppt download. Earliest event time (eet), perhitungan maju untuk menghitung eet. Jika pt jaya wijaya pada tahun 2007 merencanakan menjual produknya senilai rp. Dari soal sebelumnya, berdasarkan tabel 1 dan gambar 9, akan diperoleh hasil perhitungan backward pass sebagai berikut.

Dalam hal ini harus dipergunakan anak panah boneka (dummy arrow). Contoh soal dan jawaban administrasi infrastruktur jaringan dapatkan contoh dubai khalifa from dubaikhalifas.com. Pangkal (1) dan ujung (2), a dan b sama. Tuliskan urutan warna kabel cross. Analisis jaringan kerjadocx analisis jaringan kerja.

Bab 9 Cpm Pert
Bab 9 Cpm Pert from image.slidesharecdn.com
Pengetian jaringan kerja teori jaringan kerja merupakan salah satu analisis teknik riset operasional yang berhubungan dengan manajemen proyek. Contoh soal network planning riset operasi kumpulan soal. Doc tugas individu riset operasi unpam nurdin nurdin. Contoh soal network diagram manajemen proyek periodic cute766. Tuliskan urutan warna kabel cross. Cpm pert just another wordpresscom weblog. Berikut adalah rangkuman dasar jaringan komputer beserta. Contoh soal dan jawaban administrasi infrastruktur jaringan dapatkan contoh dubai khalifa from dubaikhalifas.com.

Analisis network riset operasi ppt download.

Tersirat di sini, jalur karir selalu bersifat formal, dan ditentukan oleh organisasi (bukan oleh pegawai). Jalur karir, manajemen karir, dan konseling karir. Contoh menghitung menyusun jaringan pdm. Jadi cpm merupakan analisa jaringan kerja yang berusaha mengoptimalkan biaya total proyek melalui pengurangan. Contoh soal dan jawaban bilangan berpangkat smk kelas 10. Setiap komputer yang terhubung ke jaringan dapat bertindak baik sebagai workstationmaupun server disebut jaringan …. Pert cpm materi mpk manajemen pengambilan keputusan. Soal komputer dan jaringan dasar serta jawabanya. Doc tugas individu riset operasi unpam nurdin nurdin. Berikut adalah soal uas komputer dan jaringan dasar beserta kunci jawabanya monggu bisa diunduh semoga bermanfaat namun sebaiknya jika membuat soal agar disesuaikan dengan materi yang di ajarkan. Soal ujian ut manajemen ekma4413 riset operasi dilengkapi. Jalur karir adalah pola urutan pekerjaan (pattern of work sequence) yang harus dilalui pegawai untuk mencapai suatu tujuan karir. Satu anak panah saja didalam jaringan kerja, (kecuali kalau satu kegiatan dipecah menjadi kegiatan yang lebih kecil).

Ekma4413 riset operasi modul 6 from www.slideshare.net. Jalur karir, manajemen karir, dan konseling karir. Analisis jaringan kerjadocx analisis jaringan kerja. Pangkal (1) dan ujung (2), a dan b sama. Contoh soal network diagram manajemen proyek periodic cute766.

Activity Network Diagram Bagian Kedua Prosedur Penjadwalan Proyek Blog Eris
Activity Network Diagram Bagian Kedua Prosedur Penjadwalan Proyek Blog Eris from eriskusnadi.files.wordpress.com
Kali ini saya akan share beberapa soal tkj administrasi server beserta jawabanya kalian bisa baca. Pengetian jaringan kerja teori jaringan kerja merupakan salah satu analisis teknik riset operasional yang berhubungan dengan manajemen proyek. Soal komputer dan jaringan dasar serta jawabanya. • e dapat dimulai kalau c sudah selesai. Contoh soal network planning riset operasi kumpulan soal. Satu anak panah saja didalam jaringan kerja, (kecuali kalau satu kegiatan dipecah menjadi kegiatan yang lebih kecil). Contoh soal dan jawaban bilangan berpangkat smk kelas 10. Arti dan kegunaan jaringan kerja atau network kebaikan langsung yang dapat dipetik dari pemakaian analisis network adalah sebagai berikut.

Pangkal (1) dan ujung (2), a dan b sama.

Berikut adalah soal uas komputer dan jaringan dasar beserta kunci jawabanya monggu bisa diunduh semoga bermanfaat namun sebaiknya jika membuat soal agar disesuaikan dengan materi yang di ajarkan. Contoh soal dan jawaban penjumlahan pecahan. Dalam hal ini harus dipergunakan anak panah boneka (dummy arrow). Contoh soal dan jawaban analisis jaringan kerja. 03 network analysis analisis jaringan kerjatro. Contoh menghitung menyusun jaringan pdm. Contoh soal hots ips pilihan ganda kelas april 4 2021. Now is the time to understand more, so that we may feared less'' marie curie. 1kelulusan ujian nasional un jenjang smamasmk di merauke papua mencapai 95. Gambarkan diagram jaringan dari kegiatan di bawah ini. Contoh soal metode pert materi kuliah teknologi hasil pertanian ''nothing in life is to be feared, it is only to be understood. Materi ini merupakan lanjutan dari materi sebelumnya yaitu tentang analisis penjadwalan proyek dengan metode diagram preseden ( pdm ). Contoh soal network diagram manajemen proyek periodic cute766.

Prosedur perhitungan maju spa / eet. 1kelulusan ujian nasional un jenjang smamasmk di merauke papua mencapai 95. Contoh aplikasi ftp server antara lain a. Satu anak panah saja didalam jaringan kerja, (kecuali kalau satu kegiatan dipecah menjadi kegiatan yang lebih kecil). Oleh sanika diposting pada september 2 2020.

Kisi Soal Hots Komputer Dan Jaringan Dasar Smk Jawabanku Id
Kisi Soal Hots Komputer Dan Jaringan Dasar Smk Jawabanku Id from imgv2-2-f.scribdassets.com
Contoh soal metode pert materi kuliah teknologi hasil pertanian ''nothing in life is to be feared, it is only to be understood. Contoh soal dan jawaban jaringan kerja. 03 network analysis analisis jaringan kerjatro. Contoh menghitung menyusun jaringan pdm. Jalur karir, manajemen karir, dan konseling karir. Berikut adalah soal uas komputer dan jaringan dasar beserta kunci jawabanya monggu bisa diunduh semoga bermanfaat namun sebaiknya jika membuat soal agar disesuaikan dengan materi yang di ajarkan. Contoh soal pelajaran puisi dan pidato populer contoh soal network planning Contoh soal dan jawaban administrasi server jaringan.

Contoh soal seleksi kompetensi bidang skb cpns pengelola it atau pranata komputer.

Contoh soal analisis sumber dan penggunaan kas. Oleh sanika diposting pada september 2 2020. Contoh soal dan jawaban administrasi server jaringan. Contoh soal pelajaran puisi dan pidato populer contoh soal network planning Kalau pada materi sebelumnya kita membahas tentang fungsi dan perbedaan antara metode pdm dengan metode cpm serta metode pert, maka kali ini lebih mengarah ke cara. Contoh soal network planning contoh soal dan materi pelajaran 7. Pert cpm materi mpk manajemen pengambilan keputusan. Jalur karir adalah pola urutan pekerjaan (pattern of work sequence) yang harus dilalui pegawai untuk mencapai suatu tujuan karir. Analisis network riset operasi ppt download. Untuk perhitungan backward pass, dimulai dari akhir jaringan (kejadian paling terakhir). Berikut adalah rangkuman dasar jaringan komputer beserta. Contoh soal network diagram manajemen proyek periodic cute766. Hitung es, lf, ef, ls dan slack time 3.

Posting Komentar untuk "Contoh Soal Jaringan Kerja - Contoh Penjadwalan Proyek Referensi Manajemen Operasi / Contoh soal dan jawaban administrasi server jaringan."