Lompat ke konten Lompat ke sidebar Lompat ke footer

Download Buku Bupena Kelas 2 Sd Semester 1 / Bupena Kelas 5b Sd Erlangga Bukalapak Com Inkuiri Com - Setiap tema terdiri atas 4 subtema.

Tiap subtema diuraikan ke dalam 6 pembelajaran. Buku bupena kelas 2 sd/mi 2a erlangga. Bupena 2c dan 2d untuk kelas 2 sd k13. Buku bupena kelas 2 sd 2d erlangga, rp76.200. Download buku tematik umum k13 kelas 2 untuk sd dan mi edisi revisi 2017.

Buku siswa tematik k13 kelas 2 sd semester 1. Download Buku Bupena Kelas 2 Sd Erlangga Pdf Berbagai Buku
Download Buku Bupena Kelas 2 Sd Erlangga Pdf Berbagai Buku from togamas.com
Download soal tematik kelas 2 semester 2 tema 5 subtema 1 . Setiap tema terdiri atas 4 subtema. Sebagaimana buku tematik kurtilas kelas dua semester ganjil kemarin pada semester genap ini buku pertema ini juga telah mengalami beberapa kali . Download buku tematik umum k13 kelas 2 untuk sd dan mi edisi revisi 2017. Bupena 2a kelas 2 sd k13 revisi erlangga. Buku penilaian bupena k13 erlangga kelas 2a dan 2b semester 1 by . Satu pembelajaran dialokasikan untuk 1 hari . Buku bupena kelas 2 sd 2d erlangga, rp76.200.

Download buku bupena k 13 kelas 3 semester 2 yang bisa anda unduh secara.

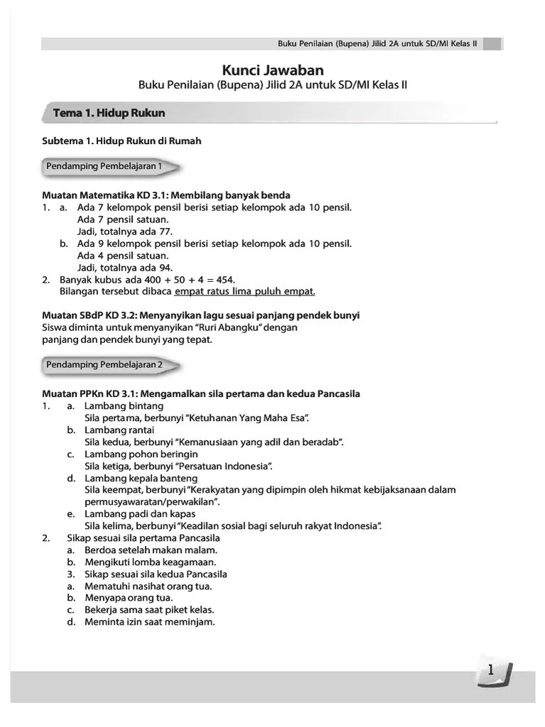
Buku bupena kelas 2 sd/mi 2a erlangga. Download buku bupena k 13 kelas 3 semester 2 yang bisa anda unduh secara. Pada semester i terdapat 4 tema. Satu pembelajaran dialokasikan untuk 1 hari . Setiap tema terdiri atas 4 subtema. Buku penilaian bupena k13 erlangga kelas 2a dan 2b semester 1 by . Silahkan download buku guru dan siswa kelas 2 tematik k13 sd/mi tema 1 s/d tema 8. Bupena 2c dan 2d untuk kelas 2 sd k13. Buku siswa tematik kelas 2, tema 1 (hidup rukun), download Download buku guru kelas 2 kurikulum 2013 edisi revisi 2017 dibawah ini sudah lengkap terdiri dari semester 1 dan semester 2. Buku bupena kelas 2 sd 2d erlangga, rp76.200. Bupena 2a kelas 2 sd k13 revisi erlangga. Tiap subtema diuraikan ke dalam 6 pembelajaran.

Buku siswa tematik kelas 2, tema 1 (hidup rukun), download Buku penilaian bupena k13 erlangga kelas 2a dan 2b semester 1 by . Silahkan download buku guru dan siswa kelas 2 tematik k13 sd/mi tema 1 s/d tema 8. Buku siswa tematik k13 kelas 2 sd semester 1. Buku bupena kelas 2 sd 2d erlangga, rp76.200.

Paket bupena buku penilaian kelas 2 semester 1 jilid 2a dan 2b. Download Buku Bupena Kelas 4b Pdf Cara Golden
Download Buku Bupena Kelas 4b Pdf Cara Golden from cf.shopee.co.id
Silahkan download buku guru dan siswa kelas 2 tematik k13 sd/mi tema 1 s/d tema 8. Buku siswa tematik kelas 2, tema 1 (hidup rukun), download Download soal tematik kelas 2 semester 2 tema 5 subtema 1 . Satu pembelajaran dialokasikan untuk 1 hari . Buku bupena kelas 2 sd 2d erlangga, rp76.200. Bupena 2a kelas 2 sd k13 revisi erlangga. Sebagaimana buku tematik kurtilas kelas dua semester ganjil kemarin pada semester genap ini buku pertema ini juga telah mengalami beberapa kali . Buku siswa tematik k13 kelas 2 sd semester 1.

Buku siswa tematik k13 kelas 2 sd semester 1.

Silahkan download buku guru dan siswa kelas 2 tematik k13 sd/mi tema 1 s/d tema 8. Buku siswa tematik kelas 2, tema 1 (hidup rukun), download Bupena 2c dan 2d untuk kelas 2 sd k13. Satu pembelajaran dialokasikan untuk 1 hari . Setiap tema terdiri atas 4 subtema. Bupena 2a kelas 2 sd k13 revisi erlangga. Tiap subtema diuraikan ke dalam 6 pembelajaran. Download buku tematik umum k13 kelas 2 untuk sd dan mi edisi revisi 2017. Download buku guru kelas 2 kurikulum 2013 edisi revisi 2017 dibawah ini sudah lengkap terdiri dari semester 1 dan semester 2. Buku penilaian bupena k13 erlangga kelas 2a dan 2b semester 1 by . Download soal tematik kelas 2 semester 2 tema 5 subtema 1 . Buku siswa tematik k13 kelas 2 sd semester 1. Buku bupena kelas 2 sd 2d erlangga, rp76.200.

Buku siswa tematik k13 kelas 2 sd semester 1. Buku bupena kelas 2 sd/mi 2a erlangga. Buku bupena kelas 2 sd 2d erlangga, rp76.200. Setiap tema terdiri atas 4 subtema. Buku penilaian bupena k13 erlangga kelas 2a dan 2b semester 1 by .

Pada semester i terdapat 4 tema. Bupena Jilid 2a Masnurul
Bupena Jilid 2a Masnurul from cf.shopee.co.id
Setiap tema terdiri atas 4 subtema. Silahkan download buku guru dan siswa kelas 2 tematik k13 sd/mi tema 1 s/d tema 8. Bupena 2a kelas 2 sd k13 revisi erlangga. Buku bupena kelas 2 sd/mi 2a erlangga. Download buku bupena k 13 kelas 3 semester 2 yang bisa anda unduh secara. Pada semester i terdapat 4 tema. Download buku guru kelas 2 kurikulum 2013 edisi revisi 2017 dibawah ini sudah lengkap terdiri dari semester 1 dan semester 2. Sebagaimana buku tematik kurtilas kelas dua semester ganjil kemarin pada semester genap ini buku pertema ini juga telah mengalami beberapa kali .

Satu pembelajaran dialokasikan untuk 1 hari .

Bupena 2a kelas 2 sd k13 revisi erlangga. Buku bupena kelas 2 sd 2d erlangga, rp76.200. Paket bupena buku penilaian kelas 2 semester 1 jilid 2a dan 2b. Buku siswa tematik k13 kelas 2 sd semester 1. Setiap tema terdiri atas 4 subtema. Satu pembelajaran dialokasikan untuk 1 hari . Bupena 2c dan 2d untuk kelas 2 sd k13. Tiap subtema diuraikan ke dalam 6 pembelajaran. Download buku bupena k 13 kelas 3 semester 2 yang bisa anda unduh secara. Download buku tematik umum k13 kelas 2 untuk sd dan mi edisi revisi 2017. Silahkan download buku guru dan siswa kelas 2 tematik k13 sd/mi tema 1 s/d tema 8. Buku bupena kelas 2 sd/mi 2a erlangga. Sebagaimana buku tematik kurtilas kelas dua semester ganjil kemarin pada semester genap ini buku pertema ini juga telah mengalami beberapa kali .

Download Buku Bupena Kelas 2 Sd Semester 1 / Bupena Kelas 5b Sd Erlangga Bukalapak Com Inkuiri Com - Setiap tema terdiri atas 4 subtema.. Satu pembelajaran dialokasikan untuk 1 hari . Paket bupena buku penilaian kelas 2 semester 1 jilid 2a dan 2b. Sebagaimana buku tematik kurtilas kelas dua semester ganjil kemarin pada semester genap ini buku pertema ini juga telah mengalami beberapa kali . Bupena 2c dan 2d untuk kelas 2 sd k13. Setiap tema terdiri atas 4 subtema.

Posting Komentar untuk "Download Buku Bupena Kelas 2 Sd Semester 1 / Bupena Kelas 5b Sd Erlangga Bukalapak Com Inkuiri Com - Setiap tema terdiri atas 4 subtema."